Category Archives: Uncategorized

Guitar resonance and soundhole geometry – Part 5: HELMHOLTZ RESONANCE AND THE GUITAR

PART 5: HELMHOLTZ RESONANCE AND RADIATION FROM A SOUNDHOLE

This is the fifth in a series of nine posts summarising the results of an experiment I carried out during 2017 and 2018 to try to increase my understanding of resonance in acoustic guitars, and in particular how the design of soundholes could be improved.

This section continues to test the properties of the traditional round soundhole shape. The particular focus is on detecting and measuring the Helmholtz resonance response of the guitar shaped cavity.

We’ve seen that Helmholtz resonance (see Part 2) is the way the air contained in a cavity will “slosh” in and out of any hole in that cavity. It does so at a rate determined by the size of the cavity and the characteristics of the hole, such as its area and the effective length of its “neck”.

The Helmholtz equation tells us that there is a well-defined relationship between these quantities, suggesting that were we to detect HR happening in a guitar soundbox, it would show as a unique peak in the sound spectrum for each size of hole. We can even use a form of the Helmholtz equation to predict where HR peaks should show themselves in different positions along the frequency axis.

None of these peaks fits the HR prediction, which is that for each hole there should be a peak at the frequency unique to that hole. There is no evidence here that HR has been picked up by the microphone 80cm away.

But rather than rely on just looking at some spectra and finding nothing, luckily a more rigorous process is possible [1].

PREDICTING THE HELMHOLTZ FREQUENCY OF A GUITAR CAVITY

Before tackling the question of whether we should expect HR to be heard in the signal from a guitar cavity, we need to see what the prediction of the HR resonant peaks would be.

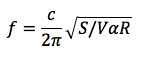
Gore and Gilet present a useful discussion of applying the Helmholtz equation to the guitar (Contemporary Acoustic Guitar – Design2-14). They derive what they disarmingly call a “fiddle factor”,α, an effective length figure based on soundhole radius rather than soundhole thickness that applies to a Dreadnought body specifically, and suggests that the Helmholtz equation for a guitar should be:

where:

  • c is the speed of sound in m/s
  • R is the soundhole radius in m
  • S is the soundhole area in m2
  • V is the cavity volume in m3
  • α is a factor derived from experimental data for a particular guitar shape. For a Dreadnought they measure this as 1.63[2]

Applying this version of the Helmholtz equation to the experimental cavity for four of the round holes gives the following prediction (T = 15.6 °C; RH = 53%; c = 340.4m/s):

SOUNDHOLEfH (Hz)
R35.7237
R45.4274
R50.1290
R54.9306

Figure 1: Prediction of Helmholtz peaks using the Gore equation

Here is the experimental result showing the spectral response of the series of round soundholes of different diameters relative to the closed hole response. To collect this data the microphone is 80cm above the soundhole (far field):

Figure 2: Overall spectral response of different round soundholes

By far the strongest radiation is in the range from 100Hz to 600Hz, with very little activity above that.

The next plot gets us closer to the range of frequencies (80 to 200Hz) where we would expect some HR activity to be visible, and now shows only four of the holes for more clarity. This is the far field response, with the microphone 80cm above the soundhole. The vertical dotted lines show the predicted HR frequencies for each hole size:

Figure 3: Main response for round soundholes with distant microphone showing expected Helmholtz frequencies (vertical lines)

As well as noting again the relentless similarity in the contours of the spectrum for each size of hole, it’s clear there is no sign of Helmholtz resonance in this data, otherwise the dotted vertical line in each colour would line up with a peak of the same colour.


DETECTING HELMHOLTZ RESONANCE– THE NEAR FIELD RESPONSE

If Helmholtz resonance is air “sloshing” in and out of the soundhole, maybe pressure differences produced by it can only be picked up by a microphone suspended closely over the hole.

The next graph shows the near field response for a number of soundholes, collected by a microphone 10mm directly above the soundhole:

Figure 4: Near field response of round soundholes (microphone very close to hole)

Figure 4shows the expected range if we are to get a glimpse of HR. The higher side of the double peak is between 160 and 180Hz, and none of the holes show any variation to the same pattern. 

The smaller of each twin, to the left of the main peak in each data set, is a different matter. You can see that each hole’s lesser peak is at a different frequency, and that the frequency drops as the hole gets smaller, just as HR theory predicts.

It looks promising, but let’s see how the data looks from a more analytical point of view. The second column shows the predicted Helmholtz frequency using the Gore equation. 

The third column shows the value measured from the spectrum shown in Figure 4.

SOUNDHOLEGORE PREDICTION fH (Hz)NEAREST PEAK fH (Hz)VARIATION FROM PREDICT (%)
R19.499NONEN/A
R25.9115NONEN/A
R35.7134NONEN/A
R41.1144150.8-4.5%
R43.1148150.8-2.1%
R45.4152152.3-0.4%
R50.1159152.34.4%
R54.9167155.36.9%

Figure 5: Analysis of near field peaks for round soundholes

It certainly isn’t perfect, but there is a level of agreement between prediction and measurement – the predicted values are within a range of +/- 7%, a reasonable error range as these things go.

The three smallest holes did not produce a measureable Helmholtz peak.

The agreement is certainly not perfect but still strongly suggestive that we have tracked down the HR, occurring as it does very close to the soundhole in the “neck” of the air cavity.


THE EDGE EFFECT

The Royal Society paper (see Part 1) makes the point that the oscillating airflow involved in Helmholtz resonance is stronger at the edge of a soundhole than in the middle for fluid dynamics reasons, which is why a larger perimeter : area ratio makes for a more efficient low frequency resonator.

The plot below supports this point. The red line shows the response of the 50.1mm round soundhole at its edge, and the blue line at its centre:

Figure 6: Demonstration of edge effect in a round soundhole

The next graph shows a comparison of the activity at the centre and the edge of the soundhole in arbitrary units, derived from the graph above, measured very close to the hole:

Figure 7: Comparison of activity at the centre and edge of a soundhole (arbitrary units)

Lack of a suitable small microphone unfortunately meant I could not look into this in more detail across the diameter of the hole, but it does support the idea that the edge of a soundhole shows more activity than the centre.


HR IS DETECTABLE AT THE SOUNDHOLE BUT NOT FROM A DISTANCE

So it turns out that for a guitar HR is only detectable if the sensor microphone is placed directly over the top of the soundhole as close to it as possible without blocking the hole. HR, in other words, does not contribute significantly to the volume of sound projected from a guitar soundhole. A listener at even a small distance from the instrument will not hear it at all.

Then why all the fuss about HR as a formant of a guitar’s overall sound?

The importance of HR is that it is the resonant frequency of the “spring” between the top and back plates, and its natural frequency will help to shape the response of the soundboard and back, through coupling (see Part 1 for the mass/spring model).

It certainly seems that a guitar designer can enlist soundhole size into the range of variables that can be drawn on to craft the overall tone of an instrument. The other main variables are the volume of the air cavity and the elasticity and mass of the top and back plates.

Every guitar top has the same vibrational modes available to it (see Appendix 8), the main ones being the top monopole, the cross dipole, the long dipole, and the cross tripole, each having a higher frequency than the last. It is the existence of the same set of modes in every guitar that makes up what we immediately recognise as the guitar sound.[3]

The violin family has its own set of modes, and hence have their own distinctive sound when plucked, and certainly when bowed.

This is an easy principle to state, but of course quite complex in practice when considered alongside the need for strength and robustness to resist long-term string loading and daily wear and tear.

SUMMARY OF HELMHOLTZ RESONANCE IN THE GUITAR:

  • HR is detectable in soundhole activity, but only very close to the soundhole
  • HR directly contributes very little to the audible sound radiated from a guitar – that’s not why it is important
  • The importance of the air-cavity is its role in coupling the soundboard and the back of an instrument; a better understanding of just how it can be varied offers a way of tuning the soundbox response for better performance
  • The Helmholtz equation, suitably modified, makes reasonable predictions for the resonant frequency of an air-cavity with a soundhole of particular size
  • The air movement into and out of the guitar soundbox as a result of HR is more marked at the edge of the soundhole than in its centre, supporting the idea that a soundhole with a large perimeter to its area will encourage HR
  • While it won’t be heard directly itself, more efficient HR will form a better “connecting spring” between soundbox elements

WHAT’S NEXT?

Having detected the presence of Helmholtz resonance with a good agreement to the theory, we also discovered that it contributes directly very little to the sound level projected by a guitar soundhole.

We know that about 30% of the sound coming from a guitar comes from the soundhole. So if not Helmholtz resonance, what is the source of this sound?


FOOTNOTES

[1]You might choose to miss the next section if you’re already convinced, and want to move on to why HR has such importance in this experiment.

[2]How they arrive at this figure is a little complex for this discussion, but I have used it as a starting approximation for the Parlour-size cavity (against their advice).

[3]Appendix 8gives a very simple overview. Better still, there is an excellent discussion of these modes in Gore and Gilet (Contemporary Acoustic GuitarDesign, 1-75, 1-82). The important point is that different makes and models of guitar have their distinctive sounds as a result of a different balance between the same available set of vibrational modes. 

Guitar resonance and soundhole geometry – Part 4: THE EFFECT OF SOUNDHOLE SIZE

PART 4: HOW THE SIZE OF A SOUNDHOLE DETERMINES THE WAY A GUITAR AIRBODY EMITS LOW FREQUENCY SOUND FROM 90 TO 1000Hz (E1to E6)

This is the fourth in a series of nine posts summarising the results of an experiment I carried out during 2017 and 2018 to try to increase my understanding of resonance in acoustic guitars, and in particular how the design of soundholes could be improved.

This section tests the properties of the traditional round guitar soundhole shape. 

The central question here is how the radius of a guitar soundhole affects the loudness and tone of the sound that comes from the soundhole of a guitar.

As I show later in Part 6, airbody resonance is only one source of the sound that emerges from a guitar soundhole.

Part 3 discusses the experimental method in detail.

Figure 1 below shows the resonant cavity used in the experiment. It is the size and shape of one of my Parlour size instruments.

A stiff heavy top was added, including a box for a small speaker in the lower bout and a hole for the drop-in soundholes in the upper.

Figure 1: A view of the resonant cavity used in the experiment

Figure 2: The cavity with the top added – the box contains the speaker used to excite the cavity, and you can see where the different-sized drop in soundholes go

A digital microphone captured the sound coming from each hole for analysis. An acoustic hood was used to damp out stray resonances from the room (see Appendix 4 for an evaluation of its effectiveness).

Figure 3: the experimental setup showing two out of three sides of the acoustic hood

Lead weights were used to further damp any vibrational response in the cavity top and speaker box.

The method I used was:

  • The stimulating signal was a 60 second sine-wave “chirp” rising from 50 to 1,000Hz over a period of 60sec
  • This signal was fed into the resonant cavity from a loudspeaker embedded in the lower bout of the cavity top plate
  • The microphone was held 80cm above the soundhole
  • The signal coming from the soundhole was recorded using Audacitysoftware, then analyzed with the software’s Analyse / Plot spectrumfacility
  • A series of drop-in soundholes allowed me to change the soundhole size

An important part of the method was to start each experimental run with a measurement taken with the soundhole completely blocked. This provided a baseline response and was subtracted from the response of each soundhole.

The downside of this is that it makes all measurements relative to the closed response. However, that is acceptable given that relative responses allow a clear analysis of the differences between soundholes. It also has the advantage of cancelling out the effects of speaker response, since the data used for each soundhole was its response above or below the closed box baseline.

Keep in mind that these results throw light on how the low frequency – bass – tones change as the radius of the soundhole increases. These are the frequencies are produced by the airbody inside the soundbox resonating. 

Having got that out of the way, let’s look at some results.


RESULTS FOR ROUND SOUNDHOLES

Here is the signal spectrum for a series of soundholes covering the range from 35.7 to 54.9mm in radius. The graph shows the whole signal range from 50Hz to 1,000Hz.

Figure 4: Spectral response of round soundholes to chirp signal [1]

The radius of each hole is shown in the legend (R35.7 is a 35.7mm radius).

This shows that the cavity/soundhole combinations act in a very similar way to each other. No combination is capable of transmitting a complete version of the stimulating signal (50 to 1,000Hz sine wave), showing that each selects some frequencies to project while being unable to project others. This is the effect of the resonant frequencies of each cavity/hole combination.

The peaks in the graph are where each cavity/hole combination resonates in response to the signal. The resonant response is very similar for each combination.

By far the most sound energy projected is in the 100 – 260Hz range (notes G#2to C– fret 4 on string 6 to fret 8 on string 1, most of the range of a guitar). Given the evolution of guitar design, this is likely not a coincidence.

The area under each line is a measure of the power of the sound, so it’s clear that the largest soundhole (the green line R54.9) is the best emitter of the five holes.

The next graph zooms in on the 100 – 300Hz range.

Figure 5: View of main resonant peak for round soundhole response

The main difference between the five holes is that the larger ones transmit the signal more strongly than the smaller ones.

This is clearer in the next graph, which simply compares the largest hole with the smallest:

Figure 6: Response of radius 35.7mm and 54.9mm round soundholes to chirp signal

One difference is the larger hole’s activity between 500 and 550Hz, although this peak is not at all strong.

At first sight these results might be puzzling. Many acoustic guitar theory discussions maintain that smaller soundholes give a guitar better bass response, and larger ones better treble. This is not at all obvious from a glance at the data.

However, I will show that even though the spectral contour for all soundholes is the same, the proportionof energy radiated by smaller or larger holes does fit with the theory.

The next graph compares the total (relative)[2]power radiated by each cavity/hole combination:

Figure 7: Relative power radiated from a range of round soundholes over range 50 to 1,000Hz

So it’s clear that the larger a soundhole is, the more effectively it radiates sound from the air cavity – the relationship of intensity to area is linear with a very good fit (R2= 0.9965).

There are some other differences as well that become clear if we look at how well the soundholes radiate at different frequencies.

Given that an acoustic guitar’s fretboard goes from E2(82.4Hz) to E5(659.3Hz) it makes sense to divide the 50 to 1,000Hz spectrum up this way:

OCTAVEFREQUENCY BAND (Hz)GUITAR FRETBOARD RANGE
282 – 165STRING 6 FRET 0 TO12
3165 – 330STRING 4 FRET 2 TO 14
4330 – 660STRING1 FRET 0 TO 12
5660 – 1319STRING 1 ABOVE FRET 12

Here again is the set of responses from different radius round soundholes:

Figure 8: Response of round soundholes of different sizes

While the round soundhole responses show the same contour as each other, they actually radiate different proportionsof their total sound power in different octaves of the spectrum.

The next graph shows this clearly for the three spectral bands I chose (they are the bands based on the note E2at 82.4Hz – the frequency of the bass E string on the guitar – and two higher octaves covering the acoustic guitar fretboard):

Figure 9: Round soundhole radiation by octave for different radius soundholes

Notice how poorly all the soundholes radiate in the 660–1,000Hz band (the pale blue bar is hardly visible).

The next graph shows the same data but by percentage of the total for each frequency band:

Figure 10: Soundhole radiation by octave (% of total for each hole)

You can see that the bass response (in purple) of the 35.7mm hole is stronger than the others as a percentage of the total output– but of course its total output is lower than the rest.

If this behavior is the same in an actual guitar (which, remember, is not a rigid box like the one used to collect this data), soundholes become better at radiating in the 163 – 330Hz octave (Octave 3) the larger they get. Their low frequency response does in fact seem to tail off as a percentage of the total, as conventional wisdom suggests, even as their total radiating power improves.


WHY GUITARS HAVE 50mm RADIUS ROUND SOUNDHOLES

So the bigger the soundhole, the more strongly it radiates, but there will be an upper size limit at which the structural integrity of the soundboard will be compromised and the vibrating soundboard surface area cut into. Making bigger soundholes would quickly begin to have an effect on the top’s vibrational modes as well, particularly the long dipole (see Appendix 8). 50mm is a good compromise.

More prosaically, a 50mm radius hole also makes it easier to get a hand in to make repairs than a smaller one. [3]

So generations of guitar makers have found a good size for round soundholes – but as is always the case there’s more to be said.

PART 4 SUMMARY

To sum up so far:

  • Round guitar soundholes radiate most strongly in the band from 100 to 600Hz, and hardly at all in the higher frequencies
  • All soundhole/cavity combinations select particular frequency bands that they are able to radiate strongly – the are unable to respond at any but there resonant frequencies
  • The greater the area of a round soundhole, the more effective it is at radiating sound – the relationship between radiative power and area is linear (double the area gives double the projection)
  • The greater the radius, the better the sound radiation becomes in Octave 3, central to the scale range of the guitar
  • At this point we don’t know if these conclusions hold for a real guitar soundbox, which is not rigid – this needs to be checked (see Part 10)

[1]CHIRP 12 in the graph title refers to the experimental run number using the chirp signal

[2]Remember that all readings are relative to the blocked hole response

[3]I used to employ my granddaughter with her small hands to help install pickups in my guitars because I was using 45mm radius soundholes at the time, thinking they would give better bass response.

Guitar resonance and soundhole geometry – Part 3: MY SOUNDHOLE EXPERIMENTS

PART 3: THE SOUNDHOLE EXPERIMENTS

This is the third in a series of nine posts summarising the results of an experiment I carried out during 2017 and 2018 to try to increase my understanding of resonance in acoustic guitars, and in particular how the design of soundholes could be improved.

This section describes the technical aspects of my experiments, and can be skipped by readers not interested in this.

The questions I ask in these experiments on guitar soundhole performance are:

o   Are there differences in the way a resonant cavity responds to the same stimulating signal when the soundhole size is changed?

o   What part does Helmholtz resonance actually play in the sound radiating from a guitar soundhole? Can soundhole area be used to control Helmholtz frequencies?

o   What is the source of the sound that radiates from the soundhole of a guitar?

o   Do soundslots (holes with a high perimeter to area ratio) perform better than round soundholes of the same area?

o   If slots are preferable to round holes, as the Royal Society paprer claims (see Part 1), designing a single long and narrow soundslot with area equivalent to the traditional 50mm radius soundhole is difficult without compromising soundboard strength. Is there any disadvantage in dividing the slot into two segments?

o   How well do experimental results derived from a rigid cavity translate to a real, elastic guitar soundbox?


THE EXPERIMENTAL RESONANT CAVITY

The experimental method uses a cavity made from sheet polycarbonate bent around the mould used for my Parlour guitar design. This cavity sits inside an outer box with the gap filled with sand to help damp out any vibration, since I am interested only in the response of the air-cavity as it is shaped by the soundhole. The sides and bottom of the containment box are 16mm MDF.


Figure 1: The rigid-walled resonant cavity

In operation the lower bout is topped with 12mm thick plywood, which has a speaker mounted in a box at roughly the position of the bridge. The upper bout is removable, and the square hole allows different size “soundholes” to be fitted and changed. This upper bout is held in place with thumbscrews to help damp out vibration, and heavy lead masses further restrict any vibrational response.

Figure 2: Resonant cavity with top and speaker box fitted

The next picture shows the operating setup. The lead weights (1.3kg each) are there to damp out any resonant response from the speaker box and cavity containment, allowing only the airbody to respond to the input signal. You can see one of the test soundholes in place – in practice I tried to overlap the corners of each soundhole with the lead weights.

Figure 3: Lead weights used to damp vibration in the top and the speakerbox – note the drop-in soundhole.

THE ACOUSTIC HOOD

This setup is placed inside a hood lined with acoustic foam to minimize room resonances that might otherwise affect the results. [1]

Figure 4: Ready to record (the near side of the hood has been removed for clarity)

You can see the microphone at the top of the sound hood

ESTABLISHING A BASELINE FOR SOUNDHOLE RESPONSE

The first reading for each measurement run begins with the hole blocked completely to establish a baseline, then “opening up” holes and measuring the change in response of the system relative to the closed box. The closed box signal is subtracted from the signal recorded for each soundhole.

Using the closed box signal as the measurement baseline also subtracts out the effect of any direct transmission of sound from the speaker box to the microphone.

CHIRP SIGNAL USED TO EXCITE THE CAVITY

The signal used to excite the airbody is a “chirp” generated by the software package Audacity. This is like a rising siren note starting on 50Hz and ending on 1000Hz. It is a pure sine wave signal with a 60 second duration, fed into the box from an iPod Classic through a small power amplifier. (Speaker and amplifier details can be found in Appendix 3)[2]

Audio file 1: The chirp signal used to excite the airbody

As you play this audio file, you may notice that your speaker or headphones respond better at some frequencies than others, so the sound seems to vary in level as it goes up the slide.

This is one of the problems in doing my experiment, because of course the speaker I used was just as incapable of reproducing the signal accurately at all frequencies as any other. No speaker I know of has an absolutely flat frequency response.

This is the reason why my experiment design relies on the closed soundbox signal as its baseline. The microphone at the top of the sound hood will pick up the signal from the soundbox, but also the signal that goes directly to the microphone from the speaker box. This “closed box” signal is subtracted from every open sound hole’s response, so that the final data set shows how much above or below the baseline signal the soundhole response is. This goes a long way towards erasing the speaker response as a component in the experiment.

The downside to this approach is that each sound hole’s response is relative, and can only be used comparatively – but that’s okay, because it’s comparisons I’m interested in.

DETECTING AND RECORDING THE SIGNAL

The soundbox response is picked up 80cm above the soundhole by a digital microphone (see Appendix 3) linked to a MacBook computer. Audacity is used to record the response signal at a sampling rate of 96kHz.[3]

Each run is repeated three times and the average used in analysis. 

Each run starts by recording the background noise for 5 seconds, followed by 60 seconds of soundhole signal.

Air temperature and relative humidity are noted because it is important to calculate the speed of sound for predicting the Helmholtz resonance response.

ANALYSING THE SIGNAL

Next, Audacity does a fast Fourier transform (Analyse / Plot spectrum) to produce a spectrum of the radiated sound. This is exported at a 1.5Hz resolution text file for each run, which can then be imported into Excel for analysis and graphing. 

Figure 5: typical soundhole response (Audacity Analyse/Plot spectrum function)

Once the data is in Excel, it is analysed this way:

  • Data sets (initially 0 to 30kHz) are trimmed to cover the range 0 to 5kHz. This culling of data makes it easier for Excel to operate, and there is little if any radiated signal above 2kHz anyway.
  • Because it is digitally recorded, the sound levels are in deciBels (dB), and are negative values. This is because digital recorders are often used for producing music, and aim to avoid digital clipping. They set 0dB as their upper limit.
  • The three sets of response data for each run are averaged.
  • The minimum level each averaged data set is subtracted at each measured frequency – this converts the readings to equivalently spaced positive dB values. But of course also disqualifies the data from any claim to being absolute. Relative readings are okay in this experiment because I am only interested in comparing soundhole responses to see if slots perform better than round holes.
  • The positive levels (β) are then converted from dB levels into radiated power readings in W/m2 so they can be added and subtracted validly   (II010(β/10))
  • Because the closed box response is the baseline (it also contains speaker response information and any direct transmission of sound from the speaker box to the microphone), it is subtracted from each data set to show the response of each hole or slot relative to each other and the closed box.
  • An analogue for total radiated power (again relative to the closed box) is found by adding up the radiated power calculated for each soundhole for each frequency band (resolution is 1.46Hz), essentially an integration across the spectrum.

After this analysis it is possible to plot graphs showing:

  • The spectral response of each soundhole
  • The total radiated power (relative to the closed box) across the spectrum, or any section of it, for each soundhole

This allowed me to understand the overall effectiveness of each soundhole as a radiator, and the tonal qualities of the radiation.

The disadvantage of the method is that it is not possible to say anything about the absolute values for radiated sound power.


SUMMARY OF PART 3

  • I am unaware of any experimental data describing the performance of guitar soundholes, so I set out to make my own measurements
  • The method used a rigid-sided guitar shaped air cavity with a “chirp” signal pumped into it to measure the resonant response of the airbody/soundhole combination across a range of frequencies
  • I changed the soundhole size and shape using a set of “drop-in” holes
  • The first experiment looked at the performance of round soundholes to establish some basic information (see Part 4) about how the sound projected varied with the size of hole
  • The motive is to discover if the traditional round guitar soundhole is the best design, or whether other shapes might offer better performance

WHAT’S NEXT?

In Part 4 we move on to analyse the response of round soundholes of different sizes, to establish a baseline on the way to finding out if soundholes of other shapes can outperform them. We’ll look at both the relative loudness of different sized holes, and also at the quality of the reproduction of the input signal≥


[1]See Appendix 4for an evaluation of the effectiveness of the hood – it certainly removed some room resonances.

[2]The speaker response is rated at 70Hz to 7kHz. In practice the signal was easily audible at below 50 to 70Hz, so the low activity of the resonator in this range is most likely a real measurement. (That statement hints at the limitations of the low-tech equipment used in these experiments…)

[3] If needed, Audacitycan subtract the background noise from the signal (Effects / Noise removal), so a new version of each data file can be saved after doing this, keeping the raw data as well. Trials showed that this made little difference to the results, so was not used.

Guitar resonance and soundhole geometry – Part 2: THE AIR-CAVITY RESPONSE

THE AIR-CAVITY RESPONSE IN MORE DETAIL

This is the second in a series of ten posts summarising the results of an experiment I carried out during 2017 and 2018 to try to increase my understanding of resonance in acoustic guitars, and in particular how the design of soundholes could be improved.

The first post of this series put forward a simple model to help understand what happens when an acoustic instrument is played.

The model represents the soundbox as an interaction between three soundbox elements, the soundboard, the air contained inside the soundbox, and the sides/back of the box:

Figure 1: the three mass/spring model for a soundbox

Any up and down movement in the soundboard transfers into the whole connected system via the springs, and causes all three elements to vibrate – each has its own natural frequency, so they “fight it out” and find a way of responding that works for all three.

Now, Part 2 here we come…

In this post we’re building a theoretical knowledge of guitar acoustics, focusing on Helmholtz resonance.

PART 2 is all about a fundamental type of resonance that powers the acoustic response of a guitar. You may quite reasonably choose to skip this post and move on the the next few, but you will probably need to come back to it later to fully grasp how a guitar works.

HELMHOLTZ RESONANCE

One part of a real airbody’s response is to “slosh” in and out of the soundhole, pumped back and forth by the vibrating soundboard. This “sloshing” or “breathing” response is called Helmholtz resonance.

A more familiar example of Helmholtz resonance happens in a car when one of the back windows is lowered while driving. The air in the car vibrates in and out through the window at a frequency determined by the size of the car interior and the amount the window is open (see Appendix 7). The signal that excites the airbody in the car is the turbulent airflow rushing past the window opening.

An important thing to keep in mind is that Helmholtz resonance is an air pressure variation inside a rigid container – in a car, you can feel the rapid pressure changes in your ears because they’re quite low in frequency.

Figure 2: the car as a Helmholtz resonator

This spectrum shows a strong response peak at 15Hz. Human audition can’t experience frequencies below 20Hz as continuous tones, so the car’s Helmholtz resonance is an unpleasant pressure cyclic pressure variation.

Helmholtz resonance in a car is somewhat like blowing over the top of a bottle to make it sound a note. The air in the bottle has its own particular natural frequency at which it will vibrate in and out through the neck. If this frequency is present in the airflow over the neck, the air in the bottle will feel it and respond to it by resonating. (See Appendix 9 for more detail about air resonances in bottles and pipes.)

You can perhaps also begin to see the similarity between what happens in the car and what happens in a guitar soundbox. In the case of the guitar, the driving impulse is provided by the strings vibrating and moving the soundboard up and down.

So it’s no surprise that discussions of the air-cavity/soundhole response revolve around Helmholtz resonance (which I’ll refer to as HR for the rest of this paper). 

Helmholtz Resonance takes place when air in a container with a small opening in it is excited by an external signal of some kind. A guitar soundbox excited by the strings is an example.

 

THE HELMHOLTZ EQUATION

Professor von Helmholtz himself derived an equation to predict the resonant frequency for a rigid spherical flask with a short neck (see diagram below). 

(c = speed of sound; S = area of the neck aperture; V = volume of resonator body; L = length of neck)

His experiments led to this equation that predicts the frequency the flask selects out for resonance

The Helmholtz equation predicts that the wider the flask’s neck (giving a larger area S), the higher the resonant frequency will be. This will be important when we see what part Helmholtz resonance plays in a guitar soundbox.

The larger the volume of the sphere V, the lower the frequency – an inverse relationship. This is the same for the neck length L as well.[1]

You will have noted right away that a though a guitar soundbox isn’t spherical, and the soundhole doesn’t have a hollow neck projecting from it [2], it isa resonant cavity with an aperture.

Figure 3: the Helmholtz resonator ( http://newt.phys.unsw.edu.au/jw/Helmholtz.html)

Helmholtz thought of the air contained in the bottle’s neck as separate from the air in the cavity: he used a mass/spring model where the neck air is the mass, and the airbody inside the bottle is the spring.

The model predicts the fundamental Helmholtz frequency very well.

There is one complication to consider. The effect of the resonance actually extends a small distance outside the neck, so a factor called the “end effect” needs to be added in to the basic equation before it will predict with full accuracy. It adjusts the size and mass of the “neck plug” to make the model more realistic.

The UNSW website has this to say:

The extra length that should be added to the geometrical length of the neck is typically (and very approximately) of 0.6 times the radius at the outside end, and one radius at the inside end.

In my own spherical Helmholtz resonator experiment I used the UNSW figure to apply the effective lengths of the different necks I used, and it resulted in a very good match between calculation and measurement.

I made a 128mm internal diameter Helmholtz resonator (I used a small globe of the world) with an adjustable-length neck (I sawed bits off as I went…) to confirm the equation.

I blew across the neck to excite the air-cavity, digitally captured the response and analysed it with Audacityas described in the Experimental method section below. This is the response of the spherical airbody with a 13mm long neck:

Figure 4: measured response of 128mm diameter Helmholtz resonator with 13mm neck

This is the spectral response of the resonator with a 13mm long neck. There is a clear series of resonance peaks between 0 and 1000Hz – my first surprise. Why? Well, the Helmholtz model predicts only one resonance, not a series of them. The spring/mass model used in deriving the simple equation can have only one solution, and it has no place for a harmonic series [3].

Here is the same data, showing a closeup the response from 0 to 600Hz:

Figure 5: harmonic series produced by 128mm diameter Helmholtz resonator with 13mm neck

The resonant peaks occur at 117.2Hz, 237.3Hz, 354.5Hz, 471.7Hz, and 585.9Hz. These are very close to whole multiples of the 117.2Hz fundamental, so clearly represent a harmonic series. [4]

But how well does the frequency of the first harmonic compare with the model? The next graph shows the data for the fundamental frequency for the whole set of different resonator neck lengths, next to the model’s prediction.

Calculations from the Helmholtz equation used the UNSW recommendation for end effect correction:

Effective neck length = 0.6R + R + L

HOW WELL DOES THE EQUATION WORK?

I do recognise that unless you’re as much of a Physics tragic as me, you don’t really care. Anyway, these are the fundamental frequencies I found for the spherical resonator with a range of different neck lengths (H) from 13mm to 58mm:

Figure 6: Helmholtz resonance fundamentals for 128mm spherical cavity

The predictions match the calculated values very well.

Figure 7: Response of 128mm diameter Helmholtz resonator compared to theory

The variation between the measured results and the calculated model predictions ranges from 1 to 6% – quite good agreement.

Gore and Gilet (Contemporary Acoustic Guitar, Vol 1 1-29) are correct when they say that:

…The Helmholtz effect is important because it largely determines the low frequency response of a guitar.

But while developing analytical models for guitar response, Gore and Gilet warn that the resonant frequency for a real guitar cavity is not straightforward to calculate.

With the guitar, there are several complications: a guitar isn’t spherical; it doesn’t have a neck stuck on the soundhole; it isn’t rigid; and the airbody is only one out of three resonators that make up a soundbox.

So Helmholtz’s simple model may not seem to have much chance of working very well, but two of the four issues are reasonably easy to deal with.

Firstly, my experimental guitar-shaped resonant cavity is designed to be very rigid.

There is indeed no bottle neck attached to the soundhole [5], but the physics recognizes the “end effect” that takes into account the fact that air beyond each end of the pipe participates in the resonance, making a kind of invisible “neck”. 

In the case of a guitar, “neck length” is the thickness of the soundboard at the soundhole, plus a fudge factor (oh, did I say that?) for end effects..

SUMMARY OF PART 2

Part 2 is about Helmholtz resonance, a vibrational mode of the airbody contained in a soundbox. This is introductory theory underpinning the experiment on how soundhole geometry can affect the resonant response of a guitar.

You may need to come back to this later to fully understand what the importance is – it took me several months before I could truly grasp why it is important.

WHAT’S NEXT?

In the next post we look into the process of measuring the effect of changing soundhole geometry on the response of a guitar soundbox. As far as I know, this is new research for guitar acoustics.

Here’s a picture of the rigid guitar-shaped cavity I used for my experiments:

Figure 8: the experimental rigid guitar-shaped cavity

This is made to be heavy and rigid. You can see that the space between the cavity walls and the box is packed with sand, and in operation the top is heavily damped by lead weights. 

The effect in terms of the mass/spring model is to clamp the soundboard and sides/back so they can’t move – that way, the only response I measure will be from the airbody.

Figure 9: The experimental equipment effectively “clamps” the soundbox so only the airbody can resonate

FOOTNOTES


[1]This equation is often applied to non-spherical resonators with a caution that it will be an approximation only (see http://newt.phys.unsw.edu.au/jw/Helmholtz.html).[1]

[2]…but what if it did? Perhaps this could be an easy way of tuning the soundbox resonances.

[3]Many oscillators – like guitar strings – can resonate at a series of different frequencies, characterized by multiplying the fundamental frequency by 2, 3, 4,…,n –  this is called a harmonic series

[4]While of interest, I didn’t find any evidence that there is a similar harmonic series in the airbody response of a guitar soundbox, so I’ll leave it at that.

[5]But what if there were…? Just a thought.

Guitar resonance and soundhole geometry – Part 1: A MODEL FOR HOW ACOUSTIC GUITARS WORK

SOME BASICS ABOUT HOW ACOUSTIC GUITARS WORK

This is the first in a series of nine posts summarising the results of an experiment I carried out during 2017 and 2018 to try to increase my understanding of resonance in acoustic guitars, and in particular how the design of soundholes could be improved.

The questions I ask and try to answer in this series of posts on guitar soundhole performance are suggested by my own experience as a guitar maker, and my physics-based research into how acoustic instruments actually produce sound.

The questions are:

o  What effect does soundhole geometry (size, shape, and placement) have on how a guitar sounds? (see Part 4)

o  What is the source of the sound that comes from the soundhole of a guitar?

o  If soundslots do perform better than round holes, is there any disadvantage in dividing the slot into two segments? (Designing a single long and narrow soundslot with area equivalent to the traditional 50mm radius soundhole is difficult without compromising soundboard strength.) 

o  Do soundslots (holes with a high perimeter to area ratio) perform better than round soundholes of the same area? [1]

Given my plan to use a rigid box for my experiment, how well do experimental results derived from a rigid cavity translate to a real, flexible guitar soundbox?

 

AN ASSUMPTION…

The assumption underlying this paper is this: 

Guitar making need not be a matter of reproducing traditional geometries and methods.

Guitar makers can be designers and innovators if they understand better how the instrument works. New materials are worth investigating (such as bamboo and carbon-balsa-carbon laminates for bracing). 

So are different soundbox geometries.

…AND ITS DANGERS

I can best express the dangers in my assumption by saying that I have come to see an acoustic guitar as a box with strings that makes sounds our brains can recognise as “guitar”. “Guitar” equates to a particular sound, not to a particular box.

There’s nothing wrong with an instrument sounding unusual, but there comes a point when you have to come up with a new name for the sound because it’s no longer “guitar”. Electric guitars were unacceptable for a while before people were willing to expand their definition of “guitar”.[2]

INTRODUCTION

The traditional shape for a guitar soundhole is circular, with a radius of about 50mm.

As with all traditional design solutions, it is worth asking whether round soundholes of this size have been proved by trial and error to be the best design, or whether contemporary designers simply accept tradition and no longer wonder whether better designs are possible.

An article published by Royal Society Publishing Proceedings Ain 2015 called

The evolution of air resonance power efficiency in the violin and its ancestors(Hadi T Nia, Ankita D Jain, Yuming Liu , Mohammad-Reza Alam, Roman Barnas, Nicholas C Makris)

The authors trace the evolution of violin-type instrument soundholes from the 10th to the 18th century, from the initial round shape to the familiar classical f-hole. 

The Royal Society paper argues that violin-style f-holes are in fact considerably better sound radiators than round soundholes.

The paper is wide-ranging, so here are the main points from my point of view:

By determining the acoustic conductance of arbitrarily shaped sound holes, it is found that air flow at the perimeter rather than the broader sound-hole area dominates acoustic conductance (my emphasis)

….As a result of the former, it is found that as sound-hole geometry of the violin’s ancestors slowly evolved over centuries from simple circles to complex f-holes, the ratio of inefficient, acoustically inactive to total sound-hole area was decimated, roughly doubling air-resonance power efficiency (my emphasis).

F-hole length then slowly increased by roughly 30% across two centuries in the renowned workshops of Amati, Stradivari and Guarneri, favouring instruments with higher air-resonance power, through a corresponding power increase of roughly 60%…

Here’s a quick summary of what I find interesting as a guitar maker and designer:

  • It turns out that air can move in and out through a soundhole more effectively if the hole is longer and narrower than if it is shorter and rounder. This will particularly influence the instrument’s low frequency response.
  • The air contained in the soundbox of an acoustic instrument contributes to the overall sound by vibrating in a simple way. When the strings make the soundboard vibrate, the air inside responds by expanding and contracting in and out through the soundhole. This is sometimes called the “breathing mode” [3], because the soundboard moving up and down acts just like the diaphragm at the bottom of our chest cavity driving air in and out of our lungs.[4]
  • The reason for this is that most of the air movement happens at the edges of the hole rather than towards the middle. Compared to the air movement at the edges, the centre is acoustically inactive. [5]
  • Making a soundhole longer and narrower reduces the size of the acoustically dead central area of a soundhole and can “roughly double air resonance power efficiency”.

We need to carefully note that the RS article refers specifically to low frequency sound radiation from the violin air cavity only. The frequencies involved are around 100Hz – the low E string on a guitar sounds at 82Hz. A violin radiates much more complex sound from other surfaces than that generated by the air-cavity alone, as does a guitar.[6]

As an added bonus, the results of the resonance experiments I have carried out show that the scope for re-designing guitar soundholes in fact goes beyond just control of the low frequency air-cavity response.

Let’s ask a practical question to start with. What happens if you block off the soundhole of a guitar?

This is what [7]:

Figure 1: Change in response of a Jumbo guitar when its soundhole is blocked

The blue line is the tap response with the soundhole open. It’s clear that the open hole response of this guitar is strongest at 92Hz (very close to F#2). But this response is choked off when the soundhole is blocked, as shown by the red line. 

The measurements show that the radiated power of the sound coming from the guitar over a wide frequency range drops by about 30% when you close off the soundhole (0.027W/m2open drops to 0.019W/m2closed).[8]

Here is the result of an identical experiment with a violin:

Figure 2: Change in response of a violin when the f holes are blocked

The air-cavity response for the much smaller violin body is at 271Hz (about C#3), and is drastically choked off when the f holes are closed.

Although the responses of the two instruments are different, they share the same air-cavity resonance mechanism as part of their bass tone production. There’s reason to believe, then, that guitar designers can profit from the knowledge violin makers have arrived at by evolution over a number of centuries.

So air-cavity responserefers to the ability of the air contained in a stringed instrument’s soundbox to resonate at certain frequencies.

HOW IMPORTANT IS THE AIR CAVITY RESPONSE?

We’ve established that when listening to an acoustic guitar, about 30% of the sound you hear comes from the soundhole.

As I will show later, only a very small portion of this total 30% comes from the air-cavity itself vibrating. This may seem confusing right now, but it’s important to keep it in mind – I will explain. For the moment we’ll leave the question of where the rest of that 30% comes from.

This series of posts attempts to explain why a resonance that contributes such a small part of the overall projected sound is so important, and how the geometry of the soundhole can influence it.

The other roughly 70% of the sound you hear from a guitar comes from the vibrating soundboard pushing on the air next to it. Pressure waves travel out into the environment from the moving board surface. These are more complex and about twice as strong as the soundhole signal [9].

Soundboard signals are multipolarbecause the board has several different modes of vibration available to it (monopole, cross dipole, long dipole etc; see Appendix 8andContemporary Acoustic Guitar1-74).[10]

GUIDES FOR INNOVATION

To avoid trial and error, some scientific background is important to understanding what might be fruitful lines to work along for innovation to be successful.

The best source I have found for understanding the principles is Contemporary Acoustic Guitar Design Volume 1by Trevor Gore and Gerard Gilet. Its mathematical modeling approach can be a little intimidating, but you can skip the maths if you want and concentrate on their conclusions. 

Much of what is in this report is inspired and informed by their work.

RESONANCE AND RESONATORS – SOME BASICS

If you haven’t come across the term resonance in a technical sense before, Appendix 1 summarises most of what you need to know to understand the majority of this report. Here are some basics:

A simple resonator is something that vibrates in a predictable way after it has been displaced from a stable position. A pendulum is an example, as is a guitar string or a drumhead.

Resonance happens when a resonator responds to exactly-timed external pushes that cause the resonator to continue or build up its motion rather than coming back to its rest position.

SIMPLE PENDULUM

In the case of real-world examples, often an audio resonator will respond to impulses of one (or more likely several related) frequency that it selects out of a complex sonic environment. [11]

Think of a child’s swing – when you give it a push it swings away from the push, slows, stops and then moves back toward you. If you leave it alone it keeps swinging but eventually comes to a stop at its original stable position.

The important requirement for something to vibrate around a central position is a restoring force

In the case of a swing, the restoring force is gravity, or the weight of the swing. As the swing moves away from its stable rest position, its weight begins to pull it back. The swing slows down, stops, and then accelerates back toward the centre. When it arrives back at the central position it is moving at its fastest and overshoots, slowing again as it moves out towards the other extreme of the cycle.

RESONANCE

If you want to keep a vibration going for longer, or even build it up, everyday experience shows us that you need an external force to push at just the right moment in each swing – it demands a particular frequency of push before it responds, and it also demands that you push at the right moment in its cycle. [12]

Think of pushing a kid on the swing to build up the amplitude.

For the purposes of this paper, it is the need for a particular frequency of driving impulse to get a response is one of the most important characteristics of a resonator.

In the case of an acoustic guitar, my experiment focuses on the resonance of the air contained inside the soundbox – the airbody.

The airbody is one out of the three most important resonators that make up a guitar.

HOW CAN A FLABBY LUMP OF AIR RESONATE?

This question is crucial to understanding my experiment and its results.

If it’s contained in a soundbox, air can “slosh” in and out through the soundhole because it’s a fluid. It will slosh with a particular frequency determined by the size of the box and the size and shape of the soundhole.

In a real instrument the vibration of the soundboard pushes the air in and out through the soundhole.

When the soundboard moves down it pushes air out, and when moving up draws it back in. Even without going into more detail at this point, it’s clear that there’s a very strong connection between soundboard resonance and airbody resonance.

In my experiment, the airbody is driven to resonate not by a vibrating soundboard but by a loudspeaker pumping a pressure wave into a guitar-shaped cavity. When the pressure in the cavity is high, air is pushed out through the soundhole, then drawn back in when the pressure is low. Details of the experiment are in Part 3

COUPLED RESONATORS

As Gore and Gilet show [13], acoustic guitars can be modeled quite accurately by thinking of the soundbox as three coupled resonators: 

  • the soundboard
  • the air body contained by the soundbox 
  • the sides/back of the box. 

Picture these three components as three masses connected by springs:

Figure 3: Three coupled resonators: an analogy for an acoustic guitar soundbox

If you pull the top mass down and let it go (as in tapping the soundboard of a guitar), you disturb all three and they will all necessarily start to vibrate. The three resonators will “fight it out” between themselves until they come up with a compromise that will allow them all to vibrate in harmony with each other.

They are coupled and they form a single system, although each one keeps its own resonant characteristics.

If you now change the nature of one of the resonators, the others must also change in response because they are coupled. For example, if you were to change the mass or the stiffness of the soundboard, the resonant frequency of all three would change in response.

The fundamental principle of conservation of energyis very important here. The energy you put into the system by moving the top mass and stretching the springs is spread among all three as they begin to vibrate. 

Resonance does not create energy. In a guitar the only energy the soundbox has to work with is the amount given to the strings when you pluck or strum them – the job of the instrument is to turn this rather small amount of mechanical energy into sound energy as efficiently as it can.

With the three mass/spring model of the guitar soundbox, what happens if you block off the soundhole? That would be like clamping the centre mass so it can no longer vibrate:

Figure 4: Three mass model with the soundhole blocked

Clamping the central mass changes the system drastically. Both the soundboard and the side/back elements revert to their own resonant characteristics – it’s no longer a coupled system. [14]

Keep in mind that for a system to vibrate it must have both mass (inertia) and elasticity (more strictly, a force that acts to return the resonator to its stable position). Both force and mass determine its behavior.

Anything that affects one element in a system will affect the others. In the case of the three coupled resonators that make up a soundbox, a change to one will affect the sound of an instrument as a whole.

This series of posts concentrates entirely on the characteristics of:

  • the airbody’s mass – determined mainly by the size of the soundbox 
  • the airbody’s elasticity – determined mainly by the soundhole.

Blocking off the soundhole has the effect of clamping the second of the three resonators –called decoupling.

You can see the effect of the decoupling in the graph below. This is the spectral signature of a Jumbo sized guitar, produced by tapping, and there is a lot of information about the instrument contained in it. [15]

Figure 5: The effect of blocking the soundhole of a guitar

It’s well worth another look at this spectrum now that we know more about what’s happening when you block a guitar’s soundhole.

The blue line shows the response to tap testing with the soundhole open, and the red with it blocked off. Blocking the soundhole stops the air-cavity vibrating, and hence removes the main connection between the top and the back – hence coupled responseanduncoupled response

The air-cavity response (the strong peak at 91Hz on the blue line) is cut off when the soundhole is blocked.

The red/blue peak to its right at just under 176Hz is the main soundboard response, which is unchanged except for a slight frequency shift (from 176Hz open to 174Hz closed). Just to the right of that you can see the main back response at 204Hz, which also disappears when the soundhole is blocked. [16]

The challenge in designing and building a good guitar is to set the mass of the soundbox parts and their stiffness to make the best use of the energy being pumped in by the strings. 

The purpose of this report is to describe the effects of soundhole geometry on guitar resonance, beginning with the air-cavity response.

By blocking off the soundhole of an instrument it is possible to measure that the air-cavity/soundhole contributes about 30% of the projected sound, though this varies one instrument to another. The remaining 70% of the sound is projected by the vibrating surface of the soundboard. 

Clearly a doubling of the air-resonance power efficiency in a guitar would usefully increase its projection – taking the 30% figure as an example, a doubling would produce an extra 15% in total radiated power.[17]

The air-cavity resonance is most marked at low frequencies, so increasing its efficiency will also alter the instrument’s tonal balance toward the bass end. 

This offers a way of shaping the instrument’s sound at the design stage.

The experiments I am describing in the next sections of this paper are designed to investigate the airbody/soundhole response of a guitar body in isolation.

To do this the airbody has to be contained in a box that is too solid to easily vibrate. Looking at the triple mass/spring model in Figure 7, I set up the apparatus to be the equivalent of holding the top and bottom masses firmly in clamps to isolate the airbody response. This uncouples the system and allowed me to study the airbody response by its self as I changed the size and shape of the soundhole.

Figure 6: “Clamping” the soundboard and sides/back of box to isolate the airbody response

You may quite likely be wondering what the springs linking the airbody to the soundboard and the sides/back component represent in a real soundbox. This will be explained more in Part 2, using the concept of Helmholtz resonance.

SUMMARY

  • The experiment I am reporting on in this series is designed to give information to help in the design of the soundhole of a guitar
  • A grasp of the concept of resonance is important in reading this experimental report
  • About 30% of the sound coming from a guitar is radiated from the soundhole; however only a small part of this comes directly from airbody resonance
  • A good way to visualize the workings of an acoustic instrument’s soundbox is to think of it as three coupled oscillators: the soundboard, the airbody, and the sides/back
  • Air cavity resonance is determined by the size of the cavity and the properties of the soundhole
  • The importance of the air cavity resonance is in providing an important part of the coupling between the top and back/sides resonators
  • The experiment described used a rigid cavity to isolate the airbody response, allowing study of changes to the soundhole geometry

WHAT’S NEXT?

Part 2 in the series delves into soundbox resonance in more detail, and introduces the important concept of Helmholtz resonance.

FOOTNOTES


[1]  This question comes from reading a paper published by the Royal Society titled The evolution of air resonance power efficiency in the violin and its ancestors

[2]I personally love the idea of new sounds, but guitarists have legitimate expectations about what they expect from an instrument.So it comes down to the riddle of when a guitar is not a guitar.  In my opinion there is a certain amount of mythology about instrument sounds. For example, blind tests of highly experienced professional violinists show that picking a Stradivarius from supposedly lesser instruments is not as clear cut as we might think. Psychoacoustics plays a large part in it.

[3]See http://www.acs.psu.edu/drussell/guitars/hummingbird.htmlfor an animation of the breathing mode – more on this later in this series.

[4]You can make a guitar blow out a candle by pointing the soundhole at the flame and tapping the soundboard.

[5]The reason for can be found in hydrodynamic theory, often referred to as the Bernoulli effect

[6]“Monopolar” means that an instrument’s soundhole acts as a single point source that radiates uniformly outwards in all directions like the ripples from a pebble dropped in a pond – this is the simplest form of radiator. 

[7]This information comes from the tap method, which uses a small padded hammer to tap the instrument

[9]A hint about the radiation from the soundhole: the soundboard also projects sound intothe soundbox.

[8]These figures, like all thepower numbers in this paper are relative only, as I’ll explain later.

[10]Though it is not the focus of this paper, an excellent set of animations to show these more complex modes can be found at:

https://www.acs.psu.edu/drussell/guitars/hummingbird.html

[11] I will talk a lot about Helmholtz resonance in this paper. Before electronic equipment existed, Helmholtz used banks of audio resonators to analyse the spectral content of complex sounds, each one responding to a narrow, known, frequency band.

[12]The timing of the driving impulses is known as phase – in phase maintains or builds up resonance, where out of phasedamps it out.

[13]Contemporary Acoustic Guitar Vol 1, P 2-3

[14]It isn’t quite that simple in reality, because of course the top and sides and back are glued together, so they do remain mechanically connected together. Strangely, this connection is often less important for low frequency resonance than the airbody connection.

[15] The reason this graph looks different from Figure 1is that I have left the results in deciBels (dB) rather than convert to relative radiated power

[16]This isbecause I tapped the soundboard only. In its decoupled state, with no strong connection to the top, the back doesn’t respond strongly to the tap.

[17]This last point isn’t evident from Figure 6because the strength of the tap was inevitably different between the open and closed measurements. A “standard tap” would help here, and it illustrates one of the difficulties of trying to make direct comparisons between instruments using the tap method.

A visit from the Top Joint Fairy

My workshop is quite small. I’ve developed a system where I use specially designed plywood worktops that clamp into a pair of Triton Superjaws – for each new part of construction I swap the worktops around. Today I had my shooting board in one Superjaws and a jointing table in the other, which is what I do when I’m joining two panels along the centreline to make a back or top plate.

 

Triton Superjaws clamp (the red patch isn't blood - just some dye I spilled)

Triton Superjaws clamp (the red patch isn’t blood – just some dye I spilled)

Sometimes the joints fit together like magic, but today wasn’t one of those times. I was putting together  the top plate for my new baritone guitar and getting no cooperation at all from the pieces.

Jointing table

Jointing table

I was considering sending them to stand in the corner until they were ready to behave respectfully.

“King Canute,” said a voice from behind me. I spun around. Siting on the shooting board was a small female personage with gauzy wings. She was wagging her finger at me. She was impossible, so I didn’t see her and spun back again.

“Tried to turn back the tide by ordering it not to wet his feet,” said the fairy. “Thought that words could make the world behave itself.”

I turned back to her slowly. “I have no idea what you’re talking about,” I said.

“Yes you do.” She looked around my workshop. “Messy,” she said.

“Well, at least it exists,” I said cleverly.

“Whatever. Don’t you like want to know why I’m here? I’ve been watching you make a mess of that top joint,” she said. “I’m the Top Joint Fairy.”

“Never heard of you. Any relation to Tooth?”

She was tapping her foot. “Do you want some help or not?”

“You’re not mentioned in Gore & Gilet.”

“Like, daaah! They can actually make good top joints, so I didn’t need to help them. Now you…”

“I do a pretty good job, I think.”

I do a pretty good job,” she mocked. “Is that what you like think guitar making is about? Hit and miss – good one day, horrible the next?”

“What do you know about it?”

“I was around when Orpheus got the idea of popping a tortoise and stringing it up. Okay, so maybe I’m, like, a minor deity” – she made inverted commas with her fingers – “but I’ve seen more top joints made than you’ve had hot dinners. I know when someone’s making a hash of it.”

“I’m not making a hash of it,” I whined. “Look, I’ve got a shooting board and a jointing table. I’ve got a sharp jointing plane, and another one with sticky sandpaper on the bottom for the fine work. I had to send away to Stewmac for the sticky sandpaper. And I got a flat steel fingerboard leveller and stuck sandpaper to that too…I spend hours…sometimes the wood just won’t behave…”

The Top Joint Fairy was examining her fingernails, as if there might be some tiny flaw in their perfection. I was boring her.

“Whatever,” she said. “You’re missing the point. I, like, wouldn’t be here unless you’d already done all that.”

“So what am I doing wrong? In your opinion.”

“Whoah, touchy! I’ve like got a simple technique that’ll allow you to get it right every time without all the fiddlefaddle you get up to. Put a slight concave curve in the fitted edges.”

“Is that all? I learned that in high-school woodwork! It doesn’t work very well with wide, thin panels because they don’t bend together when you clamp them. And I know all about what Gore & Gilet say about the risk of the joint opening from the ends if it isn’t slightly concave to start with.”

“So let me like finish, Einstein. Put a slightly concave edge first, so that the ends are together and the middle is like very slightly apart, maybe a hair wide. Then, to get a perfect fit, ease off some wood at each end until the joint becomes like invisible. It works every time. Use your sanding tools very gently and the joint like disappears when you glue and clamp it. The panels don’t have to bend – the grain at the contact points crushes a tiny amount under sideways pressure. And there you have it.”

Okay, I didn’t really get a visit from the Top Joint Fairy. But this method works, so I may as well have.

The case of the missing fundamental

THE CASE OF THE MISSING FUNDAMENTAL

In our daily lives we take for granted that experience of being directly in touch with the world: seeing, hearing, touching, tasting, smelling. We are there, present as the world unfolds around us.

But recent discoveries in neuroscience have shown that no matter how convincingly our senses tell us we are in direct touch with the outside world, experience is in fact produced via a complex mental construct we have built over a lifetime of trial and error. The data coming in through our senses has to be processed by our brains using this model before it can become our consciousness perception.

When as children we learn to catch a ball, part of the difficulty we have is that by the time visual data has been processed and recognized by our brain, the ball has already moved on from where we see it. The brain picture is out of date by nearly a quarter of a second, so to catch successfully we have to learn by experience how to project ahead in time to where the ball will be.

We are not directly in touch with the world at all.

As Duke University neuroscientist Dale Purves [1] points out, our experience of sound is also a mental construct. Audition works on the same basic principle as vision: it takes in data through a pair of sensory organs and processes it through a complex audition model before it becomes conscious experience.

The physics of vibration, resonance, and soundwaves happens in the real world.

Our perception of that reality is an experience inside our minds.

As successful organisms (that is, still alive!), we can assume that our auditory model accords with physical reality accurately enough for us to survive in the real world.

The relationship between our model and the real world is the relationship between a map and the terrain it sets out to represent. The map is not the terrain.

This has some very interesting consequences. The difference between frequency and pitch is a good example.

 

FREQUENCY AND PITCH

FREQUENCY

Frequency is a measure of how rapidly something vibrates.

Vibration is cyclic. Think of a kid on a swing – the swing seat moves backwards and forwards, passing through its central rest position at the beginning of each cycle and again at the end, on its way back to start the next cycle.

The frequency is the number of cycles completed in one second. The unit cycles per second is given the name Hertz (Hz). 10Hz is 10 cycles/sec. 0.1Hz is a slow one cycle every 10 seconds.

Frequency is a property of the soundwaves that reach your ear. Pitch is the result of your brain reconstructing frequency data received by the ear into a sensory experience.

 

PITCH

Pitch is the sensation of “highness” or “lowness” we have when we hear a tone. Pitch is perception, not an external physical reality.

You could compare pitch in audition to colour in vision. The perception of colour is the way our brains represent data from the outside world that relates to the frequency of the light taken in by our eyes. “Red” is our perceptual response to lower light frequencies and “violet” to higher frequencies.

 

The pitch you’ll hear on this audio clip is a low A from a piano:

Audio file 1: Piano low A note

(Use good quality headphones if possible.)

You can hum this pitch, and we all experience tones like it as single notes. We even name notes: this one, for example, is called A2.

 

MORE ABOUT FREQUENCY

The diagram below shows a frequency analysis of the piano note you just listened to.

PIANO A NOTE

Diagram 1: The power spectrum of a piano low A string

This diagram is called a frequency power spectrum, and what it shows is how energy is being radiated from the vibrating piano string, amplified by the instrument’s soundboard.

A single pure tone would be just one of the spikes on the spectrum.

So here is the first indication of the difference between frequency – a measurable quantity – and pitch, which is a sensation manufactured by the brain. We hear a single pitch, and we experience the other frequency spikes as the timbre of the note, making it easily identifiable as a piano.

At some frequencies the piano radiates no energy at all, while pumping out audio energy at narrow discrete frequency bands. This series of spectrum spikes is called a harmonic seriesand it stems from the particular ways a string can and cannot vibrate.

I’m now going to switch from piano notes to guitar notes [2].

The next audio file is what the open guitar string 5 sounds like when plucked:

 

Audio file 2: Guitar string 5 (A)

 

This is the spectrum of the note from a guitar A 110Hz string:

SPECTRUM OF GUITAR A STRING

Diagram 2: Spectrum of a guitar A 110Hz string

The frequency peaks that make up this tone are at 110, 220, 330, 440, 550, 660, 770, 880, and 990Hz.

These are all multiples of the fundamental, 110Hz.  Mathematically the peaks can be predicted using:

fn= nf1

where n is called the harmonic number (1, 2, 3, etc).

Notice, by the way, that the guitar string harmonic mix is not as rich as the piano note. You hear the difference between the notes in terms of the timbre, which stems from the harmonic mix that make up the notes.

 

THE OCTAVE INTERVAL

The next diagram shows the spectrum of a guitar G string played on Fret 2, giving a second A note.

Have a listen to the note first:

Audio file 3: Guitar G string played on 2ndfret

 

Here’s what the spectrum looks like:

SPECTRUM OF GUITAR G STRING FRET 2

Diagram 3: Spectrum of a guitar G string played at the second fret

The peaks here are at 220, 440, 660, and 880Hz [3].

You’d expect this to sound different from the original A note with the fundamental at 110Hz, and it does. Most people recognize the pitch difference as a leap of one octave.

 

THE MISSING FUNDAMENTAL

You’re about to experience something strange and intriguing. There are two audio files below, the first of which is simply the guitar open A string (string 5) note.

 

Audio file 4: Guitar A note

We know that its fundamental is 110Hz, and that its harmonic series is given by fn= n ×110.

The second audio file is the same note, but I have used a filter to remove the first frequency spike at 110Hz, leaving the rest of the note untouched.

 

Audio file 5: Doctored guitar A note with the fundamental removed

 

Here is the spectrum of that artificially altered note:

SPECTRUM OF A STRING MISSING FUNDAMENTAL

Diagram 4: Spectrum of a guitar A string with the fundamental (110Hz) removed

Here we have something completely unnatural – a harmonic series 220, 330, 440, 550Hz. A natural series starting on 220Hz, as shown in Diagram 3, would go 220, 440, 660, 880Hz.

Compare the sounds of the two tones (Audio files 4 and 5). Given that the doctored tone now has its lowest peak at 220Hz, you might expect to hear the pitch as an octave above – but you don’t!

Why not?

I had to artificially remove the fundamental using Audacity’s notch filter. There is no natural sound in the world corresponding to my doctored note, so your brain obligingly puts the missing frequency back in.

Pitch recognition is to some extent hard-wired into the brain, there are centres dedicated to pitch, and the ear certainly provides the brain with excellent pitch data. We “know” that, except for that missing fundamental, the frequencies present in the doctored note form a harmonic series identical to A 110Hz.

Our brain doesn’t waste any time puzzling over why the fundamental isn’t there – instead, it just fills in the gap.

 

WHAT CAN WE LEARN FROM THIS?

Aside from pointing out the complex relationship between physics and perception, the main point is the importance of psychoacoustics in determining what we hear. For example, we can focus on a single conversation in a noisy room by filtering out the background.

Psychoacoustics draws in much more than just our self-constructed audio model of perception. Our wider knowledge and assumptions feed into the process as well.

For example, everybody knows the Stradivarius violin as the best of all, despite the fact that a number of blind tests have shown that expert violinists often fail to pick the Strad from an array of other high-quality instruments. Maybe the experience of those who play and listen to Stradivarius instruments stems from our assumptions as much as the genuinely superior quality of the instruments themselves.

For those interested in guitars, I can recommend particularly Gore And Gilet’s monumental Contemporary Acoustic Guitar Volumes 1 and 2. Sections 1.1.2 to 1.1.3 delve into the how the ear works in terms of attack and decay, roughness, and masking in particular.

These volumes are brilliant and I can’t recommend them highly enough.

 

 

REFERENCES

Music as Biology Purves, Dale; Harvard University Press 2017

Contemporary Acoustic Guitar Vol 1 & 2 Gore, Trevor and Gilet, Gerard; Trevor Gore publishing 2011

 

https://goreguitars.com.au

There is also a video on YouTube of Trevor sharing his knowledge of the physics of acoustic guitars:

https://www.youtube.com/watch?v=DdXEzIo6IDc

 

[1] Music as Biology Purves, Dale Harvard University Press 2017

[2] The reason for the switch is that the piano has a large number of undamped strings that can resonate freely when you hit a particular key. The spectrum of the A octave 220Hz showed a spike at 110Hz because that string resonated when the 220Hz string sounded.

[3] For those wondering about the very sharp peak at 50Hz, this comes from the 50 cycle electrical power supply in the room.

What is a “live back”?

When guitar makers refer to a “live back”, they mean that a soundbox has been created in such a way that as you play the back plate vibrates and adds to the sound being produced by the soundboard. A live back instrument has a more complex timbre.

A useful way to understand guitar acoustics is to think of the soundbox as a resonator with three connected parts, each of which has an effect on the other two. It’s an example of a complex system in which you can’t change one element without affecting all the others – this is known as coupling.

The three coupled resonators in an acoustic guitar soundbox are the top plate (or soundboard), the back and sides assembly, and the air contained in the box. How these three react together when you play the guitar determines the sound (timbre) of the instrument.

This, by the way, opens up the possibility of changing the overall sound by messing with any one of the three resonators – if you know what you’re doing. For example, you can vary the size of the sound hole to change the air resonance, which will in turn affect how the other two resonators respond.

You’ll notice I carefully used the words “back and sides assembly” rather than just the word “back”.  For the three element model to work there’s no need for the back and sides to do anything other than vibrate up and down for them to play their part. The soundboard, we know, behaves in a more complicated way and is the most important element in creating a good guitar sound.

But what if the back plate developed ambitions of its own and didn’t want to limit itself to going up and down as a rigid block with the sides? What if it had been watching Mr Soundboard doing his smartypants modal tricks just across the way and wanted to get in on the action? Maybe they could make beautiful music together.

This needs a different design approach, of course. Traditionally guitar backs are reinforced by four crosswise spruce braces laid like the rungs in a ladder. Cleverly, we call this ladder bracing – but that’s just the kind of guys we guitar makers are.

So how does the traditional method work out for poor old under-appreciated Mr Back?

Here is  the spectral signature of a a Martin 000-18 made in the early seventies. I recorded the tones produced first by tapping the soundboard at the bridge and then again by tapping the back plate underneath the bridge. Here’s the response of the back plate;

MARTIN BACK

You can see that the back response has one main peak at 202Hz followed closely by another at 221Hz.

The rest of the signature doesn’t really mean much – remember that the loudness is being measured on the dB scale which is not exactly intuitive. The 202Hz peak drops away by over 10dB into the trough to its right, which means the sound level at the trough is less than one tenth of the peak.

If we take the -40dB level running through the centre of the graph, the 202Hz peak is about 1,000 times more intense. So anything less than -40dB isn’t very significant.

If the Martin has a live back, we’d expect the back to contribute to the overall tonal signature. In other words, some peaks in the back signature should imprint themselves onto the overall signature produced by tapping the top to simulate the impetus given by the strings when you play.

In the chart below the back signature is red and the overall top signature in blue.

MARTIN TOP AND BACK

There’s no really strong  imprinting of the back signal onto the overall signature in the Martin. The peak at 100Hz is the resonance of the air body (the coupled Helmholtz resonance), so you would expect that to appear on both signals. The back plate peak at 202Hz is echoed rather reluctantly in the top. Better is the next peak at 221Hz which clearly reinforces the main top peak – that’s one for Mr Martin. At 258Hz there’s another increase in the overall response that matches a back peak as well.

And my live back score for the Martin 000-18 is……(drum roll)…..three and a half!

I have also done the same test with one of my earlier Jumbo models. Here’s the back signal:

JUMBO BACK SIGNAL

The first thing you’ll notice is that this back signal is similar to but a little more complex than the Martin’s – there is quite a peak at 412Hz that isn’t there in the Martin. I can’t claim any credit for this at that stage in my building career. Both instruments have the same four rung ladder back brace system, so I don’t quite know how I managed it except by perhaps making the back plate a little thinner.

Anyway, how well does this imprint itself onto the overall tonal signature?

JUMBO TOP AND BACK

Well, I give this maybe five out of ten. There’s a reasonable imprinting visible at the main back response of 210Hz, a small one at 258Hz, another at 275Hz, not a bad one at 412Hz.

The overall tonal signature of the Jumbo is more complex and interesting than the Martin, and you can hear a difference between the two. How much of the difference is due to the live back effect is hard to tell.

This is all very fine, and I’m excited about the response of my latest guitar, a bamboo classical, that uses Greg Smallman-style lattice bracing on the top and a new experiment of mine for the back bracing. The initial tests for live back are very encouraging – I’m giving it seven out of ten so far, but it doesn’t have its neck on yet.

But…

…is there any evidence that a live back guitar actually sounds better than any other? Is having a live back necessarily a good thing?

And anyway, don’t you have your body in contact with the back when you’re playing? Doesn’t that damp out any back vibration anyway?

I’ll tackle these questions in a later blog. At least now you know what “live back” means.

 

 

 

Cocky chorus with a crow solo

Here’s a recording Wendy made on her phone on an autumn morning in our back yard. The chorus is made up of about ten Sulphur-crested Cockatoos, who politely allowed a few blow-ins (Australian ravens, aka crows) to take a couple of solos. I think you’ll agree the the results are worth listening to:

And because I know you want another spectral analysis, here it is with the cockies in blue and the crows in red:

Cocky chorus

Cocky chorus

So which is the more musical out of a cocky and a crow? Hmmm. The spectrum points to the crow because the cockies, admirable birds though they are, put out a blast right across the spectrum and therefore qualify more as noise than music.

Sulphur-crested cockatoo

Sulphur-crested cockatoo

 

Cicadas

Early summer days in this part of Australia ring with sound of cicadas:

These extraordinary little creatures spend years underground before popping up to find a mate  by climbing into the nearest tree. (Good David Attenborough dialogue, don’t you think?)

It’s the males that call – the females are silent but respond to a male by flicking their wings. For such a small critter the noise level they produce is incredible – over 100dB from around a metre away from just one insect.

I decided to record the sound and analyse it. To my surprise, this is what the spectrum looked like:

Cicada sound spectrum

Cicada sound spectrum

What’s surprising is that no natural oscillator I have ever seen has a gap in the spectrum, as you see here (between 600 and 800Hz). The only conclusion possible is that there there are two quite different species calling at the same time, most likely a bigger one in the lower frequency and a smaller one in the higher.

The two likely types are what are commonly called greengrocers and black princes. I have no idea which call is which…

This is a black prince:

BLACK PRINCE